Jedan odličan znanstvenik, ne iz epidemiologije, i jedan dobar poduzetnik izašli su s jednom vrstom Corona-Manifesta u kojem na prvu ruku ništa nije sporno. Iako kada malo više uđete u ono što su napisali, onda je to neka vrsta peglanja svih njihovih dosadašnjih loših analiza, mjera i predviđanja.
Kao i u slučaju Trumpa, normalan čovjek bi odustao od daljnjih objava i komentara ali izgleda da njih dvojica žele dokazati da su u pravu bez obzira na štetu koju su već prouzročili svojim bezumnim optimizmom, kako ih je okarakterizirao naš poznati znanstvenik iz Londona Boris Lenhard. Citiram ga: “Cijeli manifest je pun laži, muljaže i predstavljanja outliera kao dokaza da mjere ne rade. I čak ni ti outlieri ne podržavaju istu priču, nego Lauc i Bakić moraju prilagoditi priču svakom od njih (Njemačka, Slovenija, Bosna), izmišljajući ad hoc razloge zašto kod svakog od njih mjere ne rade.”
Izvadak iz Bakić-Lauc Corona-Manifesta: “Istraživanja su pokazala da su tri seta mjera najučinkovitiji (1) zabrane velikih okupljanja (utakmice, koncerti i sl), (2) Ograničavanje manjih okupljanja (ograničavanje broja ljudi na privatnim zabavama, razmak između stolova u restoranima, limitiranje broja ljudi u kafićima, trgovinama i sl.), i (3) edukacija javnosti o nužnosti pridržavanje mjera osobne higijene i opreza.”
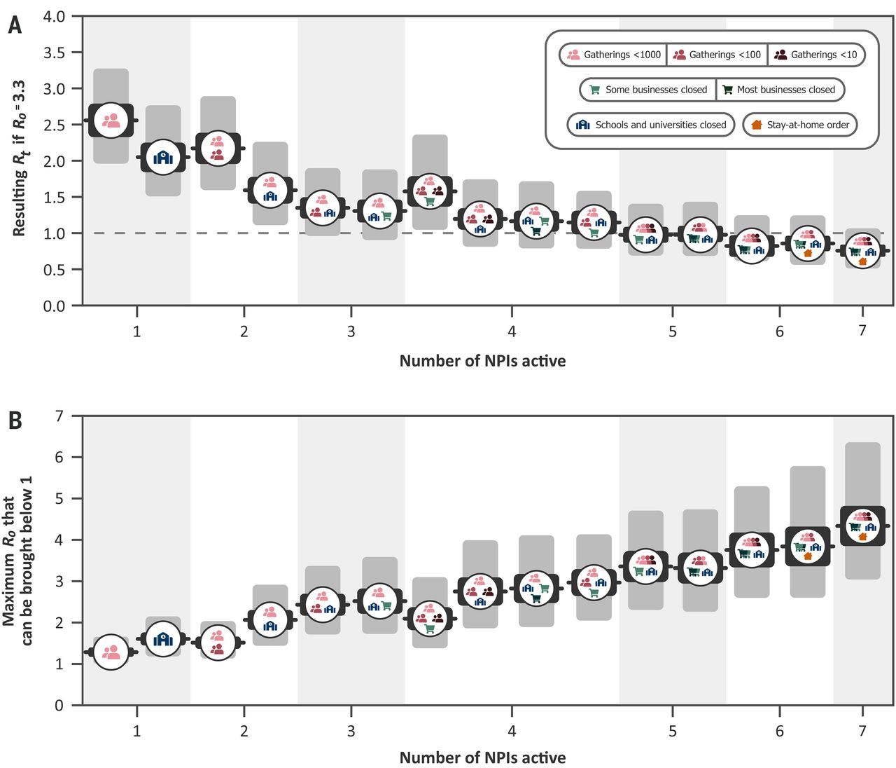
Ova analiza nema uporišta u niti jednom znanstvenom istraživanju. Kada se govori o reduciranju Rt broja u postocima, o kojem govore, mjere s najvećim učincima su zabrane okupljanja više od 10 ljudi koja taj faktor smanjuje za 42% i zatvaranje škola i fakulteta koji Rt faktor smanjuju za 38%. Dvojac je namjerno prešutio zatvaranje škola i fakulteta, a Bakić u svojim objavama još i poziva roditelje da bombardiraju ministarstvo znanosti kako bi se djece što prije vratila u klupe. Istraživanja također nisu pokazala da “razmak između stolova u restoranima, limitiranje broja ljudi u kafićima” ima bilo kakav veći utjecaj od zatvaranja većine neesencijalnih obrta i firmi u kojima se ostvaruju ‘face to face’ kontakti, uključujući tu kafiće i restorane. Te mjere smanjuju Rt faktor za 27%. Mjere ostanka doma imaju mali postotak reduciranja Rt faktora jer su sva mjesta gdje se ostvaruju bliski kontakti su ionako već zatvorena.https://science.sciencemag.org/content/early/2020/12/15/science.abd9338 
Što se tiče ugostitelja, kojih ima jako puno u našoj županiji, mislim da će na otvaranje trebati čekati do početka travnja kada ćemo, na razini Hrvatske vjerojatno svesti broj zaraženih ispod 100 dnevno. Na žalost ‘kuhanje’ u Baniji-Banovini će sigurno pojačati zarazu među stanovništvom. Među istarskim vatrogascima koji su otišli pomagati u Petrinju i okolicu od posljedica potresa proširio se koronavirus. Od 18 vatrogasaca 6 je pozitivno. Znači, i taj potres treba epidemiološki sanirati. Bakić i Lauc svojim bezumnim objavama o otvaranju ugostiteljskih objekata i obrazovnih institucija prije povoljne epidemiološke slike Hrvatske ponovo pogoršavaju cijelu situaciju. Uzmimo da se svi ugostitelji drže epidemioloških mjera kao pijan plota, problem neće biti oni nego gosti na terasama. Dobar primjer je Platak i tamošnje gužve. Njihov problem su ‘face to face’ kontakti gostiju, a toga sam se nagledao na svom poslu. Da se u kafiću ili restoranu svi ponašaju kao ja, sutra bih sve otvorio, bez bojazni da će to utjecati na Rt factor.
Laucova opsesija prokuženošću i vjerovanjem da to usporava zarazu, počela je nervirati većinu znanstvenika koji o tome znaju malo više od njega. Ljetos sam pisao o gradu Mananusu i toj Amazonskoj provinciji koju je poharao prvi val. Znanstvenici su vjerovali da su zbog velikog broja oboljelih i mrtvih dosegli imunitet krda i da je zbog toga zaraza ugušena. Dok ovo pišem, novi korona pacijenti se transportiraju u druge dijelove Brazila. Zaraza bukti ponovo neviđenim tempom i to još s mutiranim virusom čija je zaraznost daleko veća. Kada svatko u ulici zna nekoga tko je umro od korone onda se svi od straha zatvaramo. Nema druženja, nema kavica niti pivica s prijateljima. I tu je Lauc svojim objavama napravio jako puno štete kod mladih ljudi. Više zaraza znači i veći rizik da će virus mutirati. Nije isto kada imate 1.000 zaraženih ili 100.000. Ova brazilska mutacija virusa izgleda je našla slabu točku kod mlađih ljudi pa je broj hospitaliziranih i mrtvih kod mlađe populaciji skočio za zabrinjavajućih 25%. Znam da ugostiteljima nije lako i da će vjerojatno mnogi bankrotirati. Sa uvođenjem zadnjih epidemioloških mjera 28.11.2020. godine za dlaku smo izbjegli pucanje bolničkih kapaciteta i smrtnost koja bi premašivala 100 ljudi po danu. Drugi val pandemije počeo je s turističkom sezonom i još uvijek ga saniramo. Slušajući Bakića i Lauca ne činite nikakvu uslugu sebi. Bezumni optimizam ima svoju cijenu. Izgubljeni životi i uništena privreda. Kafići i restorani će se ponovo otvoriti. Čak i nakon bankrota.







































